The Y-factor in sheet metal is a constant used to calculate bend allowance, representing the location of the neutral axis as a fraction of the material thickness during bending. It helps in accurately determining the flat length of a bent sheet by accounting for material stretching and compression.

In this article:
Y-Factor in Sheet Metal
In sheet metal bending, the Y-factor is a fundamental concept used to calculate the flat pattern or blank length for a bent component. It is closely related to the bend allowance and neutral axis concept.
While the K-factor defines the position of the neutral axis, the Y-factor is used in formulas to directly calculate bend allowance in a simplified manner.
1. Definition of Y-Factor
The Y-factor is a dimensionless coefficient that represents the position of the neutral axis as a fraction of sheet thickness in relation to the inside bend radius:

Where:
- (BA) = Bend allowance (length along neutral axis)
- (t) = Sheet thickness
- (\theta) = Bend angle in radians
- (Y) = Y-factor, depends on material and bend radius to thickness ratio
The Y-factor essentially serves the same purpose as the K-factor, but it is used in bend allowance formulas to simplify calculations.
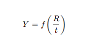
2. Relationship Between Y-Factor and K-Factor
The Y-factor is often related to the K-factor via a curve or empirical chart:

Where:
- (R) = Inside bend radius
- (t) = Sheet thickness
- As (R/t) increases (larger radius), Y-factor approaches 0.5.
- As (R/t) decreases (sharp bends), Y-factor decreases, moving the neutral axis closer to the inner bend surface.
In essence, Y-factor is a correction factor that incorporates the effect of bend radius and material thickness on neutral axis location.
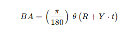
3. Calculation of Bend Allowance Using Y-Factor
The bend allowance formula using Y-factor:

Where:
- BA = Bend allowance (mm)
- θ = Bend angle (in degrees)
- R = Inside bend radius (mm)
- t= Sheet thickness (mm)
- Y = Y-factor (location of neutral axis)
- π/180 Conversion factor from degrees to radians
Example:
Given values
- Sheet thickness: t=2 mm
- Inside bend radius: R=4 mm
- Y-factor: Y=0.45
- Bend angle: θ=90∘

7.69 mm is the length of material along the neutral axis in the bend zone.
This value is added when calculating the flat (blank) length of the sheet before bending.
This is the length of sheet along the bend consumed in bending.
4. Factors Affecting Y-Factor
- Bend Radius / Sheet Thickness Ratio (R/t) – Larger R/t → Y-factor ≈ 0.5
- Material Type – Ductile metals → slightly higher Y-factor
- Bend Angle – Mostly used for 90°, 45°, etc., but formula works for any angle
- Bending Method – Air bending, bottoming, coining
5. Typical Values of Y-Factor
| R/t Ratio | Y-Factor Approx. |
|---|---|
| R/t = 0.5 | 0.33 – 0.35 |
| R/t = 1.0 | 0.36 – 0.38 |
| R/t = 2.0 | 0.4 – 0.42 |
| R/t ≥ 5 | 0.45 – 0.5 |
Observation: For large radius bends, neutral axis is near mid-thickness, Y ≈ 0.5.
For sharp bends, neutral axis shifts toward inner surface, Y < 0.5.
6. Importance of Y-Factor
- Simplifies bend allowance calculations.
- Accounts for material thickness and bend radius in a single factor.
- Helps in accurate blank size development for sheet metal bending operations.
- Widely used in CNC sheet metal programming and CAD software.
7. Comparison: K-Factor vs Y-Factor
| Feature | K-Factor | Y-Factor |
|---|---|---|
| Definition | Ratio of neutral axis distance to sheet thickness | Correction factor for bend allowance calculation |
| Formula Use | Used in BA = θ × (R + k × t) | Used in BA = θ × (R + Y × t) |
| Range | 0.3 – 0.5 | 0.33 – 0.5 |
| Application | Manual calculations | Simplified or empirical calculations, CAD software |
| Dependence | Material, thickness | Material, bend radius, thickness, method |
8. Summary
- Y-factor is a dimensionless coefficient used to calculate bend allowance.
- Represents the neutral axis position relative to sheet thickness.
- Depends on material, inside bend radius, and sheet thickness.
- Used to develop accurate flat patterns for bending operations.
- Closely related to K-factor, but often provided in tables or charts for practical use.
Other courses:



