Punching is a sheet metal cutting operation used to make holes in a metal sheet using a punch and die.
The removed material is called scrap, while the sheet with the hole is the product.
It is widely used in press machines for fast and accurate hole production.

In this article:
Punching in Sheet Metal
What is Punching?
Punching (also called piercing) is a sheet metal cutting operation in which a hole is produced in the sheet by a punch and die.
๐ The sheet with the hole is the product
๐ The removed piece (slug) is scrap
Punching is one of the most common shearing operations used in manufacturing.
Working Principle
- The sheet is placed over the die.
- The punch moves downward.
- Shear stress develops along the cutting edge.
- Material first undergoes plastic deformation.
- Fracture occurs and the slug falls through the die opening.
Main Components
1๏ธโฃ Punch
- Moving cutting tool
- Size equals required hole size
2๏ธโฃ Die
- Fixed tool
- Slightly larger than punch (clearance provided)
3๏ธโฃ Stripper Plate
- Removes sheet from punch during return stroke
4๏ธโฃ Press Machine
- Mechanical or hydraulic
Clearance in Punching
Clearance = Gap between punch and die
Typical clearance:
5โ10% of sheet thickness
Effect of Clearance:
- Too small โ High force, tool damage
- Too large โ Large burr, poor edge quality
- Proper clearance โ Smooth sheared edge
Punching Force Formula

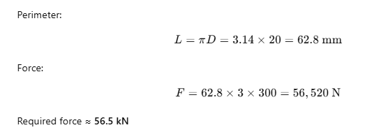
Example
Given:
- Hole diameter = 20 mm
- Thickness = 3 mm
- Shear strength = 300 MPa

Required force โ 56.5 kN
Punching vs Blanking
| Feature | Punching | Blanking |
|---|---|---|
| Product | Sheet with hole | Cut piece (blank) |
| Scrap | Slug | Remaining sheet |
| Punch Size | Equal to hole size | Equal to blank size |
| Clearance | Given on die | Given on die |
Types of Punching
- Single Punching
- Multiple Punching
- Progressive Punching
- Turret Punching
- Nibbling
Applications
- Making holes in brackets
- Electrical panels
- Automotive body parts
- Perforated sheets
- Washers and enclosures
Advantages
โ Fast operation
โ Suitable for mass production
โ Good dimensional accuracy
โ Low cost per piece
Disadvantages
โ Burr formation
โ Tool wear
โ Noise in mechanical presses
Summary:
- Punching is a shearing process.
- The removed piece is called a slug.
- Clearance is essential for quality cut.
- Force depends on perimeter, thickness, and shear strength.
- Edge has rollover, burnished zone, fracture zone, and burr.
Other courses:



