Diesel engine efficiency is among the highest of any internal-combustion engine used in vehicles. Modern diesels routinely reach 40–50% thermal efficiency, while most gasoline engines fall between 25–35%.
Below is a fully detailed, engineering-level explanation of why diesel engines achieve such high efficiency, covering thermodynamics, combustion chemistry, design, and real-world operation.
How to calculate Diesel Engine efficiency?
Diesel engine efficiency refers to how effectively a diesel engine converts the chemical energy in fuel into useful mechanical work.
To calculate diesel engine efficiency, you compare the useful power output to the energy content of the fuel being consumed.
Formula for diesel engine thermal efficiency:

Where:
Brake Power Output (BP)
The actual usable mechanical power at the crankshaft (in kW or HP).
Fuel Energy Input
Fuel Energy Input=Fuel Flow Rate× Fuel Heating Value
Step-by-step Calculation
Step 1: Measure fuel consumption
Use liters per hour (L/h) or kilograms per hour (kg/h).
Diesel density ≈ 0.84 kg/L.

3. Example Calculation
A diesel engine has:
- Brake power = 100 kW
- Fuel consumption = 20 L/h
Convert fuel to kg/h:
20 L/h×0.84=16.8 kg/h
Convert to kg/s:
16.8/3600=0.00467 kg/s
Fuel energy input:
0.00467×42≈0.196 MJ/s=196 kW
Efficiency:
η=100196=0.51 (=51%)
So the diesel engine is 51% efficient.
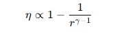
1. Thermodynamic Reason: High Compression Ratio
Diesel engines operate at compression ratios of 16:1 to 22:1, much higher than gasoline engines (9:1 to 12:1).
Why this matters:
The thermal efficiency of an engine running on an Otto or Diesel cycle is strongly dependent on compression ratio:

Where:
- ( \eta ) = thermal efficiency
- ( r ) = compression ratio
- ( \gamma ) = heat capacity ratio (~1.35–1.4)
✔ Higher compression ratio → more of the fuel’s chemical energy is turned into useful work
✔ Diesel fuel won’t pre-ignite because it needs compression heat to ignite
✔ Gasoline would knock at diesel-like compression ratios
Result: Diesels inherently achieve higher theoretical and real efficiency.
2. The Diesel Cycle Has Higher Expansion Ratio
Diesel engines:
- Compress air only,
- Then inject fuel at top-dead-center,
- And expand for a long portion of the stroke.
The expansion ratio (from TDC to BDC) is larger relative to the compression phase.
A high expansion ratio means:
- Exhaust gas leaves at lower temperature
- More energy is extracted as mechanical work
- Less energy is wasted as heat
Gasoline engines often lose more energy through hot exhaust gases.
3. No Throttle → Lower Pumping Losses
Gasoline engines control power with a throttle plate, restricting air. This creates a vacuum in the intake manifold, and the pistons waste energy pulling air past the closed throttle.
Diesel engines:
- Have no throttle
- Control power only by changing fuel quantity
- Air always flows freely
Pumping losses are much lower, especially at part load (cruising).
This is one of the biggest contributors to highway fuel economy superiority.
4. Lean Combustion = Low Heat Loss
Diesel engines operate very lean:
- Typical air–fuel ratios: 20:1, 30:1, even 60:1 under light load
- Gasoline engines must stay near 14.7:1 for emissions
Lean mixtures produce:
- Lower combustion temperature
- Lower heat transfer to cylinder walls
- Less energy wasted as radiation and conduction
- Higher thermodynamic efficiency
Gasoline engines could run lean but emissions rules keep them near stoichiometric.
5. Diesel Fuel Has Higher Energy Density
Energy per liter:
- Diesel: ~36 MJ/L
- Gasoline: ~32 MJ/L
Diesel contains more chemical energy per unit volume, improving fuel economy in real driving.
More importantly, diesel’s slower-burning, high–cetane fuel matches well with compression ignition and high-torque low-RPM operation.
6. Diesels Make High Torque at Low RPM (Less Friction)
Friction losses rise dramatically with RPM.
Diesels:
- Operate at 1200–3500 RPM (cars)
- Trucks: 600–2100 RPM
- Marine diesels: 90–100 RPM
Lower RPM →
✔ Lower friction losses in bearings, rings, and valvetrain
✔ Longer engine life
✔ Less parasitic drag
Gasoline engines rev higher (6000–8000 RPM), dissipating more energy as friction.
7. Stronger Construction Improves Efficiency
To withstand high pressures, diesels use:
- Strong, rigid blocks
- Large bearings
- Heavy pistons and rods
While heavier, this rigidity:
- Minimizes deformation losses
- Improves sealing
- Enhances combustion efficiency
- Reduces blow-by
Better sealing = more efficient combustion and less wasted energy.
8. Turbocharging Improves Volumetric Efficiency
Nearly all modern diesels are turbocharged.
Benefits:
- Recovers exhaust energy that would otherwise be wasted
- Increases air supply without increasing displacement
- Improves combustion of lean mixtures
- Boosts low-end torque → low RPM operation
Turbocharging raises efficiency much more in diesels than in gasoline engines because:
- Diesels tolerate higher boost
- There is no knock limitation
9. High Compression → Less Heat Dumped Into Coolant
Higher compression and lean burn means:
- Lower peak combustion temperatures
- More heat converted into work
- Less rejected to coolant and exhaust
Diesels often run with exhaust temperatures 200–300°C lower than gasoline engines at similar loads.
10. Real-World Efficiency Numbers
Passenger Car Engines:
- Diesel: 38–45% efficiency
- Gasoline: 28–34%
Heavy-Duty Truck Diesels:
- 42–48%
Large Marine Diesels (slow-speed, two-stroke):
- 50–55% (highest of any heat engine on Earth)
11. Why Diesels Lose Efficiency at High RPM
Diesel combustion is slower:
- High RPM = insufficient time for fuel mixing and burning
- Less complete combustion
- Higher soot production
- Lower torque
This is partly why diesels have lower horsepower per liter and lower RPM redlines.
12. Summary of Why Diesels Are More Efficient
| Factor | Diesel | How It Improves Efficiency |
|---|---|---|
| Compression Ratio | Very high | Higher thermal efficiency |
| Mixture | Very lean | Less heat loss |
| Throttle | None | Lower pumping losses |
| Fuel Energy | High | More energy per liter |
| Combustion | Slow, controlled | More expansion work |
| RPM | Low | Less friction |
| Turbocharging | Universal | Recovers exhaust energy |
| Engine Build | Strong, rigid | Better sealing & lower losses |
Overall: Diesels naturally convert a much larger share of fuel energy into forward motion.
Other courses:



