A catalytic converter is an emission control device designed to reduce harmful exhaust gases from an internal combustion engine into less toxic substances before they are released into the atmosphere.
It works by promoting chemical reactions—primarily oxidation and reduction—on the surface of precious metal catalysts such as platinum, palladium, and rhodium.
The type of catalytic converter used depends on the fuel type, engine design, and emission regulations. Over time, different designs have evolved to target specific pollutants, leading to several distinct categories based on their function, construction, and application.
Types of catalytic converter:
The following are some types of catalytic converter used in automobile industries:
Based on What pollutants they target:
- Two-Way Catalytic Converter
- Three-Way Catalytic Converter (TWC)
- Diesel Oxidation Catalyst (DOC)
- NOx Control Catalysts
Based on Physical Design / Structure:
- Monolithic (Honeycomb
- Pellet-Type
- Metallic Substrate
Based on Special Variants:
- Three-Way + Air (TWC + Air Injection)
- Underfloor vs. Close-Coupled Catalysts
- Catalyzed Diesel Particulate Filter (CDPF)
1. Two-Way Catalytic Converter:
Purpose:
- Controls Carbon Monoxide (CO) and Unburned Hydrocarbons (HC).
- Used before strict NOx regulations came into effect.
Working Principle:
- Performs oxidation reactions only.
- Requires excess oxygen in the exhaust (lean mixture).
- Common in older petrol engines and some simple emission setups.
Key Reactions:

Structure:
- Ceramic or metallic honeycomb substrate coated with platinum/palladium.
Application:
- Found in vehicles before 1980s and in some lean-burn or non-road engines.
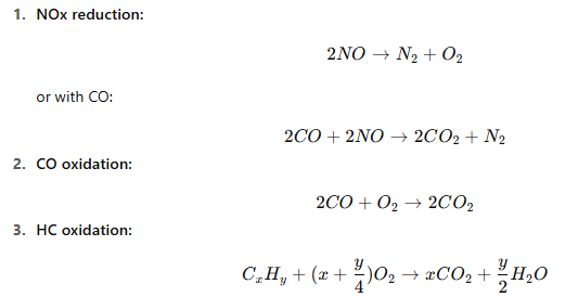
2. Three-Way Catalytic Converter (TWC):
Purpose:
- Controls CO, HC, and NOx simultaneously.
- Standard in modern gasoline cars with stoichiometric combustion.
Working Principle:
- Operates near stoichiometric air–fuel ratio (λ ≈ 1).
- Alternates between slightly rich and slightly lean exhaust to allow both oxidation and reduction.
- Uses platinum (Pt), palladium (Pd) for oxidation and rhodium (Rh) for NOx reduction.
Key Reactions:

Structure:
- Honeycomb substrate with ceria–zirconia washcoat for oxygen storage.
Application:
- All modern gasoline cars and light trucks.
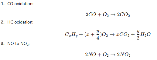
3. Diesel Oxidation Catalyst (DOC):
Purpose:
- Reduces CO, HC, and certain particulate matter fractions.
- Prepares exhaust for downstream emission devices like DPF and SCR.
Working Principle:
- Performs oxidation using excess oxygen in diesel exhaust.
- Converts NO to NO₂, which is essential for passive regeneration of Diesel Particulate Filters (DPFs).
Key Reactions:

Structure:
- Pt/Pd coated ceramic or metallic honeycomb.
Application:
- All modern diesel vehicles.
4. NOx Control Catalysts:
In NOx control catalysts there are two types:
- Selective Catalytic Reduction (SCR)
- Lean NOx Trap (LNT)
4.1 Selective Catalytic Reduction (SCR):
Purpose:
- Reduces NOx in lean-burn diesel exhaust.
Working Principle:
- Uses a reductant (aqueous urea or ammonia) injected into the exhaust upstream of the catalyst.
- Catalyst promotes NOx + NH₃ reactions to form harmless N₂ and H₂O.
Key Reactions:

Structure:
- Vanadium-based, zeolite, or metal-exchanged catalysts depending on temperature range.
Application:
- Heavy-duty diesel trucks, buses, and some passenger diesels.
4.2 Lean NOx Trap (LNT):
Purpose:
- Controls NOx in lean-burn gasoline and diesel engines without continuous urea injection.
Working Principle:
- Lean phase: NOx stored as nitrates on an alkali/alkaline-earth component (e.g., barium).
- Rich phase: Stored NOx is released and reduced to N₂ by CO and HC.
Key Reactions:

Structure:
- Washcoat containing Pt/Rh for reactions + NOx storage material.
Application:
- Lean-burn gasoline engines and some diesel cars.
5. Monolithic (Honeycomb):

most common; ceramic or metallic honeycomb substrate coated with washcoat + catalyst.
6. Pellet-Type:
A pellet-type catalytic converter is an older design where the catalyst material is coated onto small spherical pellets (beads) that are packed inside a metal container through which exhaust gases pass.

- Metal casing shaped like a short cylinder or oval.
- Filled with thousands of ceramic pellets about 3–4 mm in diameter.
- Pellets are coated with a washcoat and precious metals (Pt, Pd, Rh).
- Screens at both ends keep the pellets in place but allow gas flow.
7. Metallic Substrate:
A metallic substrate catalytic converter uses thin, corrugated metal foil—instead of ceramic—as the support structure for the catalyst coating. This foil is formed into a honeycomb pattern and rolled or stacked inside a metal canister. The surface is then coated with a washcoat and precious metals (Pt, Pd, Rh).
8. Three-Way + Air (TWC + Air Injection):
A Three-Way + Air Injection catalytic converter is a modified three-way catalyst system that has an additional supply of secondary air (usually injected into the exhaust stream just before or inside the converter) to improve oxidation of CO and HC.
It still performs the three basic TWC functions—reducing NOx and oxidizing CO and HC—but the extra air ensures there’s enough oxygen available for complete oxidation reactions, especially during cold start or rich-running conditions.
9. Underfloor vs. Close-Coupled Catalysts:
Underfloor Catalyst – A catalytic converter positioned farther downstream in the exhaust system, typically under the vehicle floor, where exhaust gases have cooled somewhat; designed mainly for sustained, high-load emission control rather than rapid light-off.
Close-Coupled Catalyst – A catalytic converter mounted very close to the engine’s exhaust manifold, where exhaust gases are hottest, to achieve quick light-off and reduce cold-start emissions.
10. Catalyzed Diesel Particulate Filter (CDPF):
Catalyzed Diesel Particulate Filter (CDPF) – A diesel particulate filter with a catalyst coating that lowers the soot oxidation temperature, enabling passive regeneration of trapped particulate matter using normal exhaust heat and NO₂ formed upstream, while also oxidizing CO and hydrocarbons.
Other courses:



